빛의 속도는 물리학에서 가장 중요한 상수 중 하나입니다. 진공에서의 빛의 속도는 초당 약 299,792,458m로 정의되어 있으며, 이는 단순한 관측값을 넘어 현대 물리학의 구조 자체를 결정하는 핵심 요소입니다. 특히 “빛의 속도는 왜 항상 일정한가?”라는 질문은 고전 물리학에서 상대성이론으로 넘어가는 전환점을 이해하는 데 필수적인 주제입니다. 빛의 속도가 모든 관성계에서 항상 일정하다는 사실은 현대 물리학의 근간을 이루는 특수 상대성 이론의 핵심 원리입니다. 이 현상은 직관에 반하나 수많은 실험으로 입증되었으며, 시공간의 본질을 재정의합니다.

빛의 속도 개요
빛의 속도가 일정하다는 명제는 현대 물리학의 기초 가정입니다. 이 원리는 특히 알베르트 아인슈타인의 특수상대성이론(1905)의 출발점이 됩니다. 핵심 요약은 다음과 같습니다.
- 진공에서의 빛의 속도 cc는 모든 관성계에서 동일합니다.
- 관측자의 속도와 관계없이 같은 값으로 측정됩니다.
- 이로 인해 시간과 공간은 절대적이지 않으며 상대적입니다.
| 항목 | 내용 |
| 빛의 속도 | 299,792,458 m/s |
| 적용 범위 | 진공 상태 |
| 이론적 기반 | 특수상대성이론 |
| 실험적 검증 | 마이컬슨-몰리 실험 등 |
고전 물리학에서의 빛의 이해
빛의 속도가 항상 일정하다는 현대 물리학의 결론은 하루아침에 도출된 것이 아닙니다. 17세기부터 19세기 말까지의 고전 물리학 체계에서는 빛을 이해하는 방식이 오늘날과 상당히 달랐습니다. 당시 과학자들은 뉴턴 역학을 기반으로 세계를 설명했으며, 속도는 관측자에 따라 단순히 더해지는 절대적 개념으로 간주되었습니다. 이러한 틀 안에서 빛 역시 하나의 물리적 현상으로 해석되었습니다.
• 빛에 대한 두 가지 초기 관점
- 입자설: 아이작 뉴턴은 빛을 매우 작은 입자의 흐름으로 보았습니다. 반사와 직진성을 설명하는 데에는 유리했으나, 간섭·회절 현상 설명에는 한계가 있었습니다.
- 파동설: 크리스티안 하위헌스는 빛을 파동으로 해석했습니다. 이후 간섭과 회절 현상이 발견되면서 파동설이 점차 우위를 차지하게 됩니다.
• 매질(에테르) 가설의 등장
- 모든 파동은 매질을 필요로 한다는 당시의 물리학적 상식에 따라, 빛 역시 전달 매질이 존재해야 한다고 가정.
- 이를 ‘광에테르(luminiferous ether)’라 불렀습니다.
- 에테르는 공간 전체를 채우며, 매우 가볍고 투명하지만 강한 탄성을 가진 물질로 상상되었습니다.
• 속도 개념의 고전적 해석
- 뉴턴 역학에서는 속도는 절대적 공간과 절대적 시간 위에서 정의됩니다.
- 물체의 속도는 단순히 더해집니다.
- 따라서 지구가 에테르 속을 움직이고 있다면, 빛의 속도는 방향에 따라 달라져야 한다고 예측되었습니다.
• 전자기학의 발전과 전환점
- 19세기 후반 제임스 클러크 맥스웰이 전자기 방정식을 완성하면서 빛은 전자기파로 이해되었습니다.
- 맥스웰 방정식은 특정한 파동 속도를 예측했으며, 그 값은 실험적으로 측정된 빛의 속도와 일치했습니다.
- 중요한 점은 이 속도가 ‘관측자에 따라 달라진다’는 항이 방정식에 존재하지 않는다는 사실입니다.
• 이론적 모순의 발생
- 뉴턴 역학에 따르면 속도는 상대적이어야 합니다.
- 그러나 맥스웰 방정식에 따르면 빛의 속도는 일정한 값으로 도출됩니다.
- 이 두 이론은 동시에 참일 수 없는 상태가 되었으며, 물리학 내부에 구조적 긴장이 발생했습니다.
• 고전 물리학의 한계
- 에테르는 끝내 실험적으로 검출되지 못했습니다.
- 속도 합성 법칙과 전자기 방정식은 양립하기 어려웠습니다.
- 절대적 시간 개념이 유지되는 한, 빛의 속도 일정성은 설명 불가능했습니다.
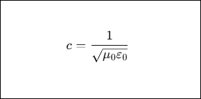
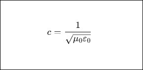
맥스웰 방정식과 빛의 속도
제임스 클러크 맥스웰은 1860년대에 전자기 방정식을 완성했습니다. 그의 방정식에서 자연스럽게 등장하는 파동의 속도가 바로 오늘날 우리가 아는 빛의 속도입니다. 맥스웰 방정식에 따르면

- μ0\mu_0 : 진공의 투자율
- ε0\varepsilon_0 : 진공의 유전율
이 식은 빛의 속도가 자연 상수로 결정됨을 의미합니다. 중요한 점은, 이 속도가 관측자의 속도와 무관하게 동일하게 계산된다는 사실입니다.
마이컬슨-몰리 실험의 결정적 의미
19세기 후반 물리학계의 가장 중요한 문제 중 하나는 “빛은 어떤 매질을 통해 전파되는가?”라는 질문이었습니다. 당시 대부분의 과학자들은 빛이 ‘광에테르' 라는 가상의 매질을 통해 이동한다고 가정하였습니다. 만약 지구가 이 에테르 속을 움직이고 있다면, 빛의 속도는 지구의 운동 방향에 따라 달라져야 합니다. 이 가설을 직접 검증하기 위해 1887년 알버트 마이컬슨과 에드워드 몰리는 정밀 간섭계 실험을 수행하였습니다. 이 실험은 고전 물리학 체계를 뒤흔드는 결정적 결과를 남겼습니다.



핵심 요약
- 절대적 공간 개념의 붕괴
- 속도 합성 법칙의 재검토
- 시간과 공간 개념 재정의의 필요성 제기
- 특수상대성이론의 이론적 토대 마련
| 구분 | 내용 |
| 실험 목적 | 지구의 공전 운동으로 인해 발생할 것으로 예상되는 ‘에테르 바람(ether wind)’을 검출 |
| 이론적 배경 | 빛이 에테르라는 매질을 통해 전파된다면, 지구 운동 방향에 따라 빛의 속도가 달라져야 함 |
| 실험 장치 | 간섭계(interferometer) – 두 방향으로 나뉜 빛의 경로 차이를 간섭무늬로 측정 |
| 측정 원리 | 서로 직각 방향으로 이동한 빛이 다시 합쳐질 때 위상 차이가 생기면 간섭무늬가 이동 |
| 예상 결과 | 지구 운동 방향과 평행한 빛은 느려지고, 수직 방향 빛은 상대적으로 빨라질 것 |
| 실제 결과 | 간섭무늬 변화가 관측되지 않음 (빛의 속도 차이 없음) |
| 결론 | 에테르 존재를 입증하지 못함 → 빛의 속도는 방향과 무관하게 일정 |
| 물리학적 영향 | 뉴턴 역학 기반 절대 공간 개념에 심각한 도전 제기 |
특수상대성이론의 두 가지 공리
1905년 알베르트 아인슈타인은 단 두 가지 공리를 기반으로 특수상대성이론을 제시하였습니다. 이 이론은 복잡한 가설이 아닌, 간결한 원리에서 출발하여 시간과 공간 개념을 근본적으로 재정의하였습니다. 특히 빛의 속도가 항상 일정하다는 사실을 이론의 출발점으로 삼았다는 점에서 물리학사적으로 결정적 전환점이 됩니다.
• 제1공리: 상대성 원리
- 모든 물리 법칙은 모든 관성계에서 동일합니다.
- 절대적으로 정지한 기준계는 존재하지 않습니다.
• 제2공리: 빛의 속도 불변 원리
- 진공에서의 빛의 속도 cc는 관측자와 광원의 운동 상태와 무관하게 동일합니다.
- 이는 고전적 속도 덧셈 법칙과 충돌합니다.
• 핵심 결과
- 시간 지연: 빠르게 움직일수록 시간이 느려집니다.
- 길이 수축: 운동 방향 길이가 짧아집니다.
- 질량–에너지 등가성: E=mc2E = mc^2.
- 어떤 물체도 빛의 속도를 초과할 수 없습니다.
특수상대성이론은 “빛의 속도는 항상 일정하다”는 공리를 중심으로 시공간 구조를 재해석한 이론입니다. 이 두 공리는 오늘날까지 수많은 실험을 통해 검증되었으며, 현대 물리학의 핵심 토대가 되고 있습니다.
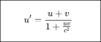
왜 속도를 더해도 빛은 빨라지지 않는가?
고전 역학에서는 속도가 단순히 더해집니다.
예:
- 자동차가 시속 100km로 달리고,
- 그 위에서 공을 시속 20km로 던지면,
- 외부 관측자는 120km/h로 측정합니다.
그러나 상대론에서는 속도 합성 공식이 다음과 같이 바뀝니다.

이 식에 따르면 아무리 더해도 결과는 c를 넘을 수 없습니다. 이는 빛의 속도가 자연계의 최대 속도이기 때문입니다.
일반상대성이론과 중력
1915년, 알베르트 아인슈타인은 일반상대성이론을 발표했습니다. 여기서 중력은 힘이 아니라 시공간의 곡률입니다. 빛은 질량이 없지만, 중력에 의해 경로가 휘어집니다. 이는 빛의 속도가 일정하더라도, 공간 자체가 휘어질 수 있음을 의미합니다.
| 구분 | 특수상대성이론 | 일반상대성이론 |
| 발표 연도 | 1905 | 1915 |
| 중력 고려 | 없음 | 포함 |
| 핵심 개념 | 빛의 속도 일정 | 시공간 곡률 |
결론: 빛의 속도는 왜 일정한가?
의 속도가 항상 일정한 이유는 단순히 그렇게 측정되기 때문이 아니라, 자연 법칙의 구조 자체가 그렇게 구성되어 있기 때문입니다. 19세기 말 알버트 마이컬슨과 에드워드 몰리의 실험은 빛의 속도가 방향이나 지구의 운동 상태에 따라 변하지 않음을 보여주었고, 이후 알베르트 아인슈타인은 이를 이론의 공리로 정립하였습니다.
맥스웰 방정식에서 도출되는 전자기파의 속도는 관측자의 운동 상태와 무관하게 동일한 상수로 나타나며, 이를 유지하기 위해 시간과 공간이 상대적으로 변한다는 결론이 도출됩니다. 즉, 빛의 속도가 변하지 않도록 시간과 길이가 조정되는 것이지, 빛의 속도가 관측자에 따라 달라지는 것이 아닙니다.
결국 빛의 속도는 하나의 물리적 수치를 넘어, 시공간 구조와 인과관계를 규정하는 우주의 기본 상수입니다. 이것이 바로 빛의 속도가 항상 일정한 근본적인 이유입니다.
FAQ
Q1. 빛보다 빠른 것은 존재합니까?
현재까지 실험적으로 확인된 바는 없습니다. 상대성이론에 따르면 정보 전달 속도는 c를 초과할 수 없습니다.
Q2. 빛의 속도는 매질에서도 일정합니까?
아닙니다. 공기, 물, 유리 등에서는 느려집니다. 일정한 것은 ‘진공’에서의 속도입니다.
Q3. 왜 우리는 빛의 속도를 체감하지 못합니까?
일상 속도는 c에 비해 극히 작기 때문입니다.
Q4. 빛의 속도가 변하면 어떻게 됩니까?
시간, 질량, 원자 구조 등 우주의 기본 법칙이 붕괴됩니다.
Q5. 빛의 속도는 영원히 일정합니까?
현재까지의 모든 실험은 일정함을 지지합니다. 변한다는 증거는 없습니다.
왜 정적 우주론은 오랫동안 유지되었을까?
오늘날 우리는 우주가 팽창하고 있다는 사실을 알고 있습니다. 은하들은 서로 멀어지고 있으며, 우주는 동적인 구조를 지니고 있습니다. 그러나 20세기 초까지만 해도 많은 과학자들은 우주가
y111.co.kr
왜 에테르 이론은 그렇게 오랫동안 믿어졌을까?
과학사에서 가장 흥미로운 장면 중 하나는, 수십 년 동안 당연하게 받아들여졌던 이론이 한순간에 무너지는 순간입니다.에테르 이론은 그런 사례 중 대표적인 예입니다. 오늘날 우리는 빛이 진
y111.co.kr
'현대 물리학' 카테고리의 다른 글
| 왜 정적 우주론은 오랫동안 유지되었을까? (0) | 2026.02.23 |
|---|---|
| 왜 에테르 이론은 그렇게 오랫동안 믿어졌을까? (1) | 2026.02.13 |
| 틀렸다고 판명난 과학 이론의 역사 (0) | 2026.02.12 |
| 우주의 초기 조건이란 무엇일까? (0) | 2026.02.09 |
| 빅뱅은 시간의 시작 이었을까 (0) | 2026.02.06 |